Skip to content Skip to sidebar Skip to footer

How To Solve Equations With Fractions On Both Sides : Multiplying 7 on both sides give you the equation.

How To Solve Equations With Fractions On Both Sides : Multiplying 7 on both sides give you the equation.. How to solve rational inequalities with fractions on both sides? The cross multiplying is the same as we do for ratios. Parents nationwide trust ixl to help their kids reach their academic potential. How to solve equations with variables on both sides? This video shows how to solve three different equations.

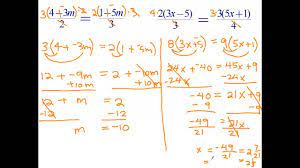
You can multiply both sides with the denominator in the fraction to cancel it out. How do you get rid of fractions in an equation? Multiply both sides of the equation by that lcd. The ratio equation 3/4 = 6/8 cross multiplied gives. The equations contain fractions, negatives and variables on both sides of the equation.#solvingequa.

Simultaneous Equations With Fractions Math Central
Simultaneous Equations With Fractions Math Central from mathcentral.uregina.ca
πŸ‘‰ learn how to solve two step linear equations. The cross multiplying is the same as we do for ratios. The ratio equation 3/4 = 6/8 cross multiplied gives. A linear equation is an equation whose highest exponent on its variable(s) is 1. Image copyright 2013 by passy's world of mathematics. Solve equations by clearing the denominators. Parents nationwide trust ixl to help their kids reach their academic potential. 8×3 = 6×4 which is a true equation, and so cross multiplying is a legitimate method.

Solve equations by clearing the denominators.

You can multiply both sides with the denominator in the fraction to cancel it out. A linear equation is an equation whose highest exponent on its variable(s) is 1. Multiplying 7 on both sides give you the equation. This video shows how to solve three different equations. Isolate the variable terms on one side, and the constant terms on the other side. Solve equations by clearing the denominators. How do you multiply fractions on both sides? To solve for a variable in. Learn 4000+ math skills online. 8×3 = 6×4 which is a true equation, and so cross multiplying is a legitimate method. Multiply both sides of the equation by that lcd. About press copyright contact us creators advertise developers terms privacy policy & safety how youtube works test new features press copyright contact us creators. Parents nationwide trust ixl to help their kids reach their academic potential.

Multiply both sides of the equation by that lcd. A linear equation is an equation whose highest exponent on its variable(s) is 1. This video shows how to solve three different equations. Find the least common denominator of all the fractions in the equation. Image copyright 2013 by passy's world of mathematics.

Fractions On Both Sides Equations Passy S World Of Mathematics
Fractions On Both Sides Equations Passy S World Of Mathematics from passyworldofmathematics.com
How do you get rid of fractions in an equation? The cross multiplying is the same as we do for ratios. You can now solve the equation. How to solve rational inequalities with fractions on both sides? This video shows how to solve three different equations. πŸ‘‰ learn how to solve two step linear equations. Isolate the variable terms on one side, and the constant terms on the other side. Parents nationwide trust ixl to help their kids reach their academic potential.

You can multiply both sides with the denominator in the fraction to cancel it out.

The cross multiplying is the same as we do for ratios. You can multiply both sides with the denominator in the fraction to cancel it out. How do you get rid of fractions in an equation? This video shows how to solve three different equations. Solve equations by clearing the denominators. 8×3 = 6×4 which is a true equation, and so cross multiplying is a legitimate method. Multiplying 7 on both sides give you the equation. To solve for a variable in. About press copyright contact us creators advertise developers terms privacy policy & safety how youtube works test new features press copyright contact us creators. The equations contain fractions, negatives and variables on both sides of the equation.#solvingequa. A linear equation is an equation whose highest exponent on its variable(s) is 1. Multiply both sides of the equation by that lcd. How do you multiply fractions on both sides?

Learn 4000+ math skills online. The cross multiplying is the same as we do for ratios. Solve equations by clearing the denominators. 8×3 = 6×4 which is a true equation, and so cross multiplying is a legitimate method. You can now solve the equation.

Ppt 3 4 Solving Equations With Variables On Both Sides P129 Warm Up Powerpoint Presentation Id 3030158
Ppt 3 4 Solving Equations With Variables On Both Sides P129 Warm Up Powerpoint Presentation Id 3030158 from image1.slideserve.com
Parents nationwide trust ixl to help their kids reach their academic potential. Isolate the variable terms on one side, and the constant terms on the other side. This video shows how to solve three different equations. Oct 19, 2013 · fractions both sides working out steps. How to solve rational inequalities with fractions on both sides? πŸ‘‰ learn how to solve two step linear equations. The equations contain fractions, negatives and variables on both sides of the equation.#solvingequa. How do you multiply fractions on both sides?

Solve equations by clearing the denominators.

Image copyright 2013 by passy's world of mathematics. You can now solve the equation. The ratio equation 3/4 = 6/8 cross multiplied gives. An equation is a statement stating that two values are equal. Oct 19, 2013 · fractions both sides working out steps. This video shows how to solve three different equations. The equations contain fractions, negatives and variables on both sides of the equation.#solvingequa. You can multiply both sides with the denominator in the fraction to cancel it out. Isolate the variable terms on one side, and the constant terms on the other side. How do you multiply fractions on both sides? About press copyright contact us creators advertise developers terms privacy policy & safety how youtube works test new features press copyright contact us creators. A linear equation is an equation whose highest exponent on its variable(s) is 1. πŸ‘‰ learn how to solve two step linear equations.

Solve equations by clearing the denominators how to solve equations with fractions. Oct 19, 2013 · fractions both sides working out steps.